

PALL high flow filter cartridge is constructed of deep fine polypropylene or glass fiber membrane as filter media, with a large diameter of 6 inches/ 152 mm, no center tube and one-way opening. It is specially designed to flow the liquid from inside to outside to ensure that all contaminant particles are trapped inside the cartridge
| Product name: | Pall High Flow Filter Cartridges |
|---|---|
| Filter Media | Polypropylene(PP) Pleated |
| Length | 20″(508mm), 40″(1016mm), 60″(1524mm) |
| Outside Diameter | 6 inch(152mm) |
| Filtration Rating | 1μm, 2μm, 3μm, 5μm, 10μm, 20μm, 40μm, 70μm, 100μm |
| Support/Drainage | Polypropylene (PP) |
| End Cap Material | Glass fiber reinforced Polypropylene (PP) |
| Seal Material | EPDM, Buna-N, Viton, Silicone |
| Outside | Rigid Hard Cage, Stainless Steel(special) |
Pall High Flow Filter Cartridges Description
PALL high flow filter cartridge is constructed of deep fine polypropylene or glass fiber membrane as filter media, with a large diameter of 6 inches/ 152 mm, no center tube and one-way opening. It is specially designed to flow the liquid from inside to outside to ensure that all contaminant particles are trapped inside the cartridge. The extra high flow design allows for a significant reduction in the number of cartridges and filters used in the same flow rate applications, greatly saving equipment input costs and labor costs.
The treatment capacity of a PARKER filter cartridge is equivalent to that of 10 filter cartridges with an outer diameter of 2-1/2″ and a length of 40″.

Why Choose Ince’s Pall High Flow Filter Cartridges
Pall High Flow Filter Cartridges Details
Pall High Flow Filter Cartridges Features:
Pall High Flow Filter Cartridges Applications:
Pall High Flow Filter Cartridges Performance:
Operation Data of HFA Series Pleated High Flow Filter Cartridges
| Maximum Operating Temperature | 180°F @ 20 psid (82°C @ 1.4 bar) |
| 160°F @ 30 psid (71°C @ 2.1 bar) | |
| 77°F @ 50 psid (25°C @ 3.4 bar) | |
| Suggested Maximum Flow Of Water | 20inch length: 660 LPM |
| 40inch length: 1,300 LPM | |
| 60inch length: 1,900 LPM | |
| Liquid Flow Direction | Inside to outside |
| Typical Surface Area | 3.5㎡ per 20″ filter cartridge |
| 7㎡ per 40″ filter cartridge | |
| 10.5㎡ per 60″ filter cartridge | |
| Recommend Change out Differential Pressure | 2.5 Bar at 20 ℃ |
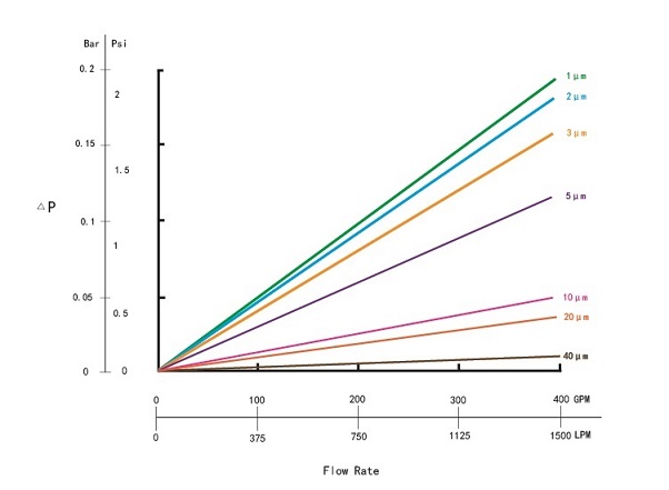
Pressure-Drop Rate for 40″ HFA Series Pleated High Flow Filter Cartridges
Search: Select from the options below to search our selection of Pall High Flow Filter Cartridges. For questions or custom orders please Contact Us.
EMAIL: sales6@incefiltration.com
Mobile/WhatsApp: +86 186 3308 5625
TEL: +86 (311) 8968 1588
TIME: Monday-Friday 8:00am - 5:30pm (CST)