The Ultimate Guide to 10 Micron Filter Bags: Balancing Precision Clarity with Industrial Throughput
In the science of industrial liquid separation, the 10 micron filter bag is often referred to as the “Universal Workhorse.” While finer 1-micron or 5-micron bags offer higher clarity, they often suffer from rapid pressure buildup and frequent downtime. Conversely, 25-micron or 50-micron bags allow too much fine sediment to pass.
The 10-micron rating provides an optimized equilibrium—fine enough to capture microscopic silt, pigment agglomerates, and yeast cells, yet porous enough to maintain consistent production speeds in high-volume environments. As global manufacturing standards for “Process Efficiency” escalate in 2026, understanding the technical nuances of 10-micron filtration is essential for any facility aiming to reduce Total Cost of Ownership (TCO).

1. The Physics of 10-Micron Retention: Nominal vs. Absolute
When sourcing 10 micron filter bags, the most common procurement error is ignoring the efficiency rating.
Nominal 10 Micron (Standard Efficiency)
A nominal bag is designed to capture a significant majority (typically 60% to 80%) of particles 10 microns or larger. These are the primary choice for:
-
Pre-filtration: Protecting expensive downstream membranes.
-
General Industrial Water: Removing sand, rust, and scale.
-
Coolant Recovery: Extending the life of metalworking fluids.
Absolute 10 Micron (High Efficiency)
Utilizing multi-layered “graded density” media, absolute-rated bags can achieve 99% or higher retention. These are engineered for critical final-stage filtration where “trace contaminants” are unacceptable.
2. Material Engineering: Polypropylene vs. Polyester vs. Nylon
The 10-micron pore size is only effective if the material can withstand your process chemistry and temperature.
A. Polypropylene (PP) Felt
The industry standard for aqueous (water-based) fluids.
-
Chemical Resistance: Excellent against acids and alkalis.
-
Sustainability: 100% silicone-free and FDA-compliant for food contact.
-
Thermal Limit: Typically up to 90°C (194°F).

B. Polyester (PE) Felt
The choice for high-temperature or hydrocarbon-heavy environments.
-
Thermal Limit: Withstands temperatures up to 150°C (302°F).
-
Mechanical Strength: Higher resistance to “stretching” under high pressure.

C. Nylon Monofilament (NMO)
A woven mesh that provides a “fixed” pore structure.
-
Advantage: Zero fiber migration and easily washable for multiple uses in non-sterile applications.
-
Surface Filtration: Traps particles on the surface rather than inside the depth of the felt.

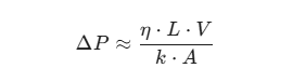
3. The Flow Rate Formula: Why Size Matters
In 2026, energy efficiency in pumping is a major KPI for factories. A 10 micron filter bag affects your system’s “Clean Pressure Drop” ($\Delta P$).
The flow through the bag can be visualized with the following relationship:
-
$\eta$: Fluid Viscosity
-
V: Flow Velocity
-
A: Effective Filtration Area
-
k: Permeability constant of the 10-micron media.
B2B Procurement Insight: Upgrading from a Size #1 bag to a Size #2 bag (which has roughly double the surface area) reduces the velocity ($V$) through the media. This leads to a lower $\Delta P$ and exponentially increases the “dirt-holding capacity,” allowing your system to run longer between change-outs.
4. Key Applications: Solving Real-World Industrial Challenges
I. Food and Beverage Clarification
In brewing and juice production, a 10 micron filter bag is the ideal “polishing” tool. It removes unwanted cloudiness and large yeast particles without stripping away the essential flavors and proteins that define the product’s character.
II. Automotive Coatings and E-Coat
In paint shops, a single 15-micron “seed” or clump can cause a crater in a vehicle’s finish. A welded 10 micron filter bag ensures that pigments remain suspended while agglomerates and debris are removed, guaranteeing a mirror-like finish.
III. Wastewater and RO Pre-treatment
Reverse Osmosis (RO) membranes are notoriously sensitive to solid loading. Using a 10-micron bag as a pre-filter removes the bulk of suspended solids (TSS), extending the life of expensive RO membranes by up to 300%.
5. Construction Integrity: The End of “Needle Hole Bypass”
Standard “Sewn” bags are increasingly being replaced by Welded Construction in professional facilities.
-
The Problem: Sewing needles create holes approximately 150-200 microns wide. In a 10-micron application, these holes are “super-highways” for contaminants.
-
The Solution: Ultrasonic or thermal welding fuses the 10-micron fabric at a molecular level, creating a 100% bypass-free seal. When paired with a molded plastic “Sentinel” collar, the seal is pressure-activated, ensuring total integrity.
6. The “15 PSI Rule”: When to Change Your 10 Micron Bag
Operating a 10 micron filter bag until it bursts is a costly mistake. Modern process management dictates a change-out when the differential pressure reaches 15 to 20 PSI.
-
Reason 1: Beyond this point, “particle strike-through” occurs, where pressure forces trapped debris through the fibers.
-
Reason 2: High $\Delta P$ forces your pumps to work harder, significantly increasing electricity consumption.
7. Strategic ROI: Why Wholesale Quality Trumps “Cheap” Bags
When evaluating the cost of a 10 micron filter bag, the unit price is the least important metric. The true ROI is found in Total Filtration Cost (TFC):
-
Labor Savings: High-capacity bags require fewer change-outs per shift.
-
Product Yield: Eliminating bypass means fewer rejected batches.
-
Equipment Protection: Clean fluid reduces wear on high-pressure pump seals and spray nozzles.
By sourcing wholesale 10 micron filter bags that utilize 30% thicker felt media, your facility can reduce annual filter consumption by as much as 20%.
8. Frequently Asked Questions (FAQ)
Q: Is a 10 micron filter bag fine enough for drinking water?
A: It is excellent for removing visible sediment, sand, and rust. However, it will not remove bacteria or viruses. For potable water, 10-micron filtration should be followed by UV sterilization or sub-micron carbon filtration.
Q: Can I wash and reuse 10 micron bags?
A: If the bag is made of Nylon Monofilament (NMO), it can often be rinsed and reused. However, Felt (PP/PE) bags are designed for depth filtration; once the dirt is trapped inside the fibers, it cannot be fully removed, and the bag should be replaced.
Q: What is the maximum flow rate for a 10 micron Size #2 bag?
A: For water-like viscosity, a standard Size #2 bag can typically handle up to 200 GPM (Gallons Per Minute), depending on the material and housing pressure limits.
Conclusion: Engineering a Cleaner Future
The 10 micron filter bag is the unsung hero of industrial clarity. By providing a bridge between high-speed production and technical purity, it ensures that global supply chains—from food to pharmaceuticals—remain efficient and reliable. In 2026, the competitive edge goes to those who treat filtration not as a “disposable cost,” but as a strategic asset.
Ready to optimize your process? Our 2026 series of high-capacity 10 micron filter bags is engineered for zero-bypass performance and maximum dirt loading. Contact our engineering team today for a technical audit of your filtration system and a custom wholesale quote.
[Request a Wholesale Quote] | [Download the 2026 Chemical Compatibility Chart] | [Order a Performance Sample Pack]
